Ejercicios con la ley de coulomb Problema 5
Percibamos cómo solucionar el segundo ejemplo de la ley de Coulomb, no es un problema complejo.
Problema 5.- Establecer la fuerza eléctrica entre dos cargas cuyos valores son q1=-3 microcoulombs, y q2=7 microcoulombs, al estar apartadas en el vacío por una distancia de 70 cm.

Nos pide computar la fuerza eléctrica entre las 2 cargas, nosotros si ya estudiamos la teoría estar al corriente que se trata de una fuerza de atracción ¿por qué de atracción?, porque al tener una carga con signo -, esto hace que las cargas se atraigan, así que si estar al corriente eso, es instante de colocar nuestros datos y comenzar con la solución:
q1=-3μC=3×10-6C
q2=7μC=5.5×10-6C
Hemos dispuesto referencia a «micros», una unidad en notación científica que se expresa en una cantidad de base 10 elevada a la «-6».
Bien, ahora es tiempo de colocar a nuestra distancia. Aunque está expresada en centímetros se debe hacer la conversión a metros para poder ejecutar el cálculo, recordemos que el «metro» es la unidad de medida del sistema internacional.

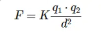
Poseer en cuenta la constante de la ley de Coulomb:

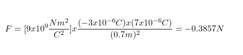
Ahora procedemos a colocar nuestra fórmula y a sustituir los datos:


Resultado: Por lo que hemos logrado determinar una fuerza de atracción de -0.3857 Newtons.
